
📌 1. 평균 제곱 오차 (Mean Squared Error, MSE)
✅ MSE란?
회귀(Regression) 문제에서 가장 많이 사용되는 손실함수
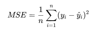
예측값과 실제값의 차이를 제곱한 후 평균을 내는 방식으로 예측값과 실제값이 같으면 MSE = 0
✅ MSE 공식

✅ MSE 특징
✔ 오차를 제곱하므로 큰 오차일수록 제곱 값이 급격히 커짐 → 이상치(outlier)에 민감함
✔ 손실값이 0에 가까울수록 모델이 잘 학습됨
✅ 예측값 변화에 따른 평균적인 패턴

- 오차를 제곱하기 때문에 포물선 형태로 증가함
- 예측값이 실제값에서 멀어질수록 손실이 빠르게 증가함
✅ MSE 코드 예제
import numpy as np
y_true = np.array([3, -0.5, 2, 7])
y_pred = np.array([2.5, 0.0, 2, 8])
mse = np.mean((y_true - y_pred) ** 2)
print("MSE:", mse)
📌 실행 결과 | MSE: 0.375
📌 2. 평균 절대 오차 (Mean Absolute Error, MAE)
✅ MAE란?
회귀(Regression) 문제에서 사용됨
예측값과 실제값의 차이의 절댓값을 평균하여 계산함
✅ MAE 공식

✅ MAE 특징
✔ 오차의 절댓값을 사용하므로 이상치에 덜 민감함
✔ 손실값이 0에 가까울수록 모델이 잘 학습됨
✅ 예측값 변화에 따른 평균적인 패턴

- 오차의 절대값을 사용하기 때문에 선형적으로 증가함
- MSE와 다르게 이상치에 덜 민감하지만 미분이 불연속(0에서 기울기가 바뀜)
✅ MAE 코드 예제
import numpy as np
y_true = np.array([3, -0.5, 2, 7])
y_pred = np.array([2.5, 0.0, 2, 8])
mae = np.mean(np.abs(y_true - y_pred))
print("MAE:", mae)
📌 실행 결과 | MAE: 0.5
📌 3. 후버 손실 (Huber Loss)
✅ Huber Loss란?
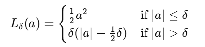
MSE와 MAE의 장점을 결합한 손실 함수임
작은 오차에서는 MSE처럼 곡선, 큰 오차에서는 MAE처럼 직선 형태로 동작하여 이상치의 영향을 줄여줌
예측값과 실제값이 가까워질수록 손실이 0에 가까워지는 방향으로 최적화 됨
✅ Huber Loss 공식

✅ Huber Loss 특징
✔ 작은 오차에서는 MSE처럼 동작하고 큰 오차에서는 MAE처럼 동작하여 이상치에 대한 영향을 줄일 수 있음
✅ 예측값 변화에 따른 평균적인 패턴

- 오차가 일정 크기(Δ) 이상이면 선형 증가(즉, 이상치에 덜 민감)
✅ Huber Loss 코드 예제
import numpy as np
def huber_loss(y_true, y_pred, delta=1.0):
error = y_true - y_pred
is_small_error = np.abs(error) <= delta
squared_loss = np.square(error) / 2
linear_loss = delta * (np.abs(error) - delta / 2)
return np.where(is_small_error, squared_loss, linear_loss).mean()
y_true = np.array([3, -0.5, 2, 7])
y_pred = np.array([2.5, 0.0, 2, 8])
loss = huber_loss(y_true, y_pred)
print("Huber Loss:", loss)
📌 실행 결과 | Huber Loss: 0.3125
📌 4. 이진 교차 엔트로피 손실 (Binary Cross-Entropy, BCE)
✅ BCE란?
0과 1로 구분되는 이진 분류(Binary Classification) 문제에서 사용됨
모델이 예측한 확률과 실제값 사이의 차이를 측정하는 손실 함수
✅ BCE 공식

✅ BCE 특징
✔ 확률 기반의 계산을 통해 모델이 정답에 가까운 높은 확률을 부여하도록 유도
✔ 출력층에 시그모이드(Sigmoid) 활성화 함수 사용
✅ 예측값 변화에 따른 평균적인 패턴

- 정답 확률을 높이면 손실이 줄고, 틀린 확률을 높이면 손실이 급격히 증가하는 구조
- 예측값이 0 또는 1에 가까울수록 손실이 낮음
- 0.5를 기준으로 손실이 급격하게 증가하는 비대칭적 곡선
- 확률 기반이므로 예측값이 틀릴수록 손실이 매우 커짐
✅ BCE 코드 예제
import numpy as np
from sklearn.metrics import log_loss
y_true = np.array([1, 0, 1, 1])
y_pred = np.array([0.9, 0.1, 0.8, 0.7])
ce_loss = log_loss(y_true, y_pred)
print("Binary Cross-Entropy Loss:", ce_loss)
📌 실행 결과 | Binary Cross-Entropy Loss: 0.1642
📌 5. 범주형 교차 엔트로피 손실 (Categorical Cross-Entropy, CCE)
✅ CCE란?
다중 클래스 분류(Multi-Class Classification) 문제에서 사용됨
모델이 예측한 확률 분포와 실제 레이블 간의 차이를 측정함
✅ CCE 공식

✅ CCE 특징
✔ 소프트맥스(Softmax) 활성화 함수와 함께 사용됨
✔ 다중 클래스 분류에서 가장 일반적으로 사용됨
✔ 모델이 여러 클래스 중 하나를 정답으로 예측하기 때문에 각 클래스의 확률을 합치면 1이 되어야함 (확률분포 형태)
✔ 보통 원-핫인코딩 형태로 정답을 표현하고 모델이 출력하는 확률 분포와 비교해서 손실 계산함
✅ 예측값 변화에 따른 평균적인 패턴

- BCE와 유사하지만 다중 클래스 분류에 사용됨
- 정답 클래스의 확률이 높아질수록 손실이 낮아짐
- 틀린 클래스로 예측하면 손실이 크게 증가
✅ CCE 코드 예제
import numpy as np
y_true = np.array([[1, 0, 0], [0, 1, 0], [0, 0, 1]]) # 원-핫 인코딩된 실제 값
y_pred = np.array([[0.8, 0.1, 0.1], [0.2, 0.7, 0.1], [0.2, 0.2, 0.6]]) # 확률의 합이 1
loss = -np.sum(y_true * np.log(y_pred)) / y_true.shape[0]
print("Categorical Cross-Entropy Loss:", loss)
📌 실행 결과 | Categorical Cross-Entropy Loss: 0.2600
[머신러닝/딥러닝] 손실함수(Loss Function)
머신러닝과 딥러닝에서 손실함수는 모델이 얼마나 틀렸는지 측정하는 중요한 요소입니다. 손실함수는 모델이 학습할수 있도록 가이드를 제공해주고 이를 최소화하는 방향으로 최적화가 진행
yiheeju.tistory.com
'📚 [Archive] CS & AI 스터디 > [STUDY] 인공지능 🤖' 카테고리의 다른 글
| [수치 해석] 수치 미분 (0) | 2025.02.05 |
|---|---|
| [모델 평가/학습 목표] 손실함수(Loss Function) (0) | 2025.02.05 |
| [인공지능개요] 인공지능 학습 방식 (3) | 2025.02.05 |
| [신경망 연산] 활성화 함수(Activation Function) (0) | 2025.02.04 |
| [신경망 연산] 선형 활성화 함수는 왜 딥러닝에서 사용되지 않을까? (0) | 2025.02.04 |