
신경망의 학습 과정에서 가장 중요한 개념 중 하나는 역전파이며 이는 미분의 원리에 기반을 두고 있습니다. 이번에는 역전파와 미분의 관계에 대해서 알아봅시다.
1. 역전파란?
역전파는 신경망의 출력과 실제 정답 간의 오차를 최소화하기 위해 가중치를 조정하는 알고리즘이다.
이는 손실 함수(Loss Function)의 미분을 이용하여 가중치에 대한 기울기를 계산하고 이를 통해 가중치를 업데이트하는 과정으로 구성된다.
역전파의 주요 과정
- 순전파(Forward Propagation): 입력 데이터를 받아 출력을 생성
- 손실(Loss) 계산: 모델의 예측값과 실제값 사이의 차이를 측정
- 오차 역전파(Backpropagation): 손실 함수를 가중치에 대해 미분하여 각 가중치가 손실에 미치는 영향을 계산
- 가중치 업데이트: 경사 하강법(Gradient Descent)을 이용하여 가중치를 조정
2. 미분과 역전파의 관계
미분(Differentiation)이란?
미분은 함수의 변화율을 나타내는 수학적 도구로 신경망에서는 손실 함수의 기울기를 구하는 역할을 한다.
특정 가중치 w가 변화할 때 손실 함수 L이 얼마나 변하는지를 계산하는 것이 핵심이다.
이를 통해 가중치를 손실을 최소화하는 방향으로 업데이트할 수 있다.

3. 역전파에서 미분이 사용되는 방식
역전파는 손실 함수의 미분을 통해 각 층의 가중치가 손실에 미치는 영향을 계산하는 과정이다.
이는 연쇄 법칙(Chain Rule)을 활용하여 이루어진다.
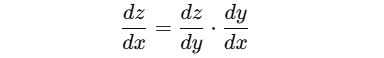
연쇄 법칙(Chain Rule)이란?
함수 z가 y를 거쳐 x에 의존하는 경우 z를 x에 대해 미분하는 과정은 아래의 식과 같다.

이 개념을 신경망에 적용하면 출력층에서 계산된 손실의 변화가 입력층까지 전파될 수 있다.
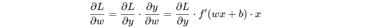
▶️ EX) 단일 뉴런에서의 미분 적용
입력 x 가중치 w 바이어스 b 활성화 함수 f를 사용한 뉴런이 있을 때 출력 y는 다음과 같다.

이제 손실 함수 L을 가중치 w에 대해 미분하면 다음과 같게 된다.

📌 이러한 과정이 신경망의 모든 층에서 반복되면서 최종적으로 모든 가중치가 업데이트된다.
4. 역전파에서 미분의 역할
- 기울기 계산: 각 가중치가 손실에 미치는 영향 측정
- 오차 역전파: 연쇄 법칙을 활용하여 각 층의 가중치 기울기 계산
- 가중치 업데이트: 기울기를 이용하여 경사 하강법 적용
- 학습 최적화: 적절한 학습률을 설정하여 최적의 가중치 찾아감
💡 정리하자면 역전파는 신경망 학습의 핵심이며 미분은 이를 수학적으로 수행하는 기반 원리이다. 연쇄 법칙을 통해 손실 함수의 기울기를 계산하고 이를 활용하여 가중치를 최적화함으로써 신경망의 성능을 개선할 수 있는 것이다.
'📚 [Archive] CS & AI 스터디 > [STUDY] 인공지능 🤖' 카테고리의 다른 글
| [신경망 학습 알고리즘] 순전파 역전파 (0) | 2025.02.05 |
|---|---|
| [미적분학] 일변수 미분 vs 다변수 미분(편미분) (0) | 2025.02.05 |
| [수치 해석] 수치 미분 (0) | 2025.02.05 |
| [모델 평가/학습 목표] 손실함수(Loss Function) (0) | 2025.02.05 |
| [모델 평가/학습 목표] 주요 손실 함수 정리 (2) | 2025.02.05 |